Go to content

Governors - Pool Hayes Primary School

Skip menu
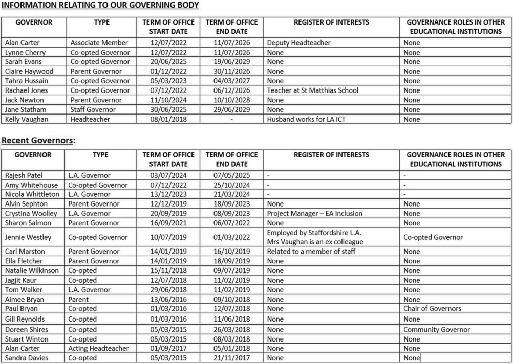
Headteacher: Mrs. K Vaughan

Headteacher: Mrs K Vaughan  postbox@pool-hayes-p.walsall.sch.uk

Chair: Mrs Tahra Hussain
CoG@pool-hayes-p.walsall.sch.uk

We currently have a vacancy for:
One Co-opted Governor

Please register any interest with the Headteacher using the above email address or call the school direct on 01902 368144

Back to content